二叉树的层序遍历
102.二叉树的层序遍历
给你二叉树的根节点
root,返回其节点值的 层序遍历 。(即逐层地,从左到右访问所有节点)示例1:
1
2输入:root = [3,9,20,null,null,15,7]
输出:[[3],[9,20],[15,7]]
1 | |
107.二叉树的层序遍历 II
给你二叉树的根节点
root,返回其节点值 自底向上的层序遍历 。 (即按从叶子节点所在层到根节点所在的层,逐层从左向右遍历)示例1:
1
2输入:root = [3,9,20,null,null,15,7]
输出:[[15,7],[9,20],[3]]
1 | |
103.二叉树的锯齿形层序遍历
按照之字形顺序
给你二叉树的根节点
root,返回其节点值的 锯齿形层序遍历 。(即先从左往右,再从右往左进行下一层遍历,以此类推,层与层之间交替进行)。示例1:
1
2输入:root = [3,9,20,null,null,15,7]
输出:[[3],[20,9],[15,7]]
1 | |
offer II 二叉树每层的最大值
给定一棵二叉树的根节点
root,请找出该二叉树中每一层的最大值。示例1:
1
2
3
4
5
6
7
8输入: root = [1,3,2,5,3,null,9]
输出: [1,3,9]
解释:
1
/ \
3 2
/ \ \
5 3 9
1 | |
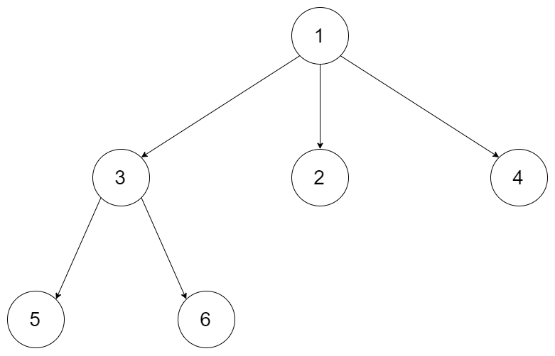
429.N叉树的层序遍历
给定一个 N 叉树,返回其节点值的层序遍历。(即从左到右,逐层遍历)
树的序列化输入是用层序遍历,每组子节点都由 null 值分隔(参见示例)
1
2输入:root = [1,null,3,2,4,null,5,6]
输出:[[1],[3,2,4],[5,6]]
1 | |
199.二叉树的右视图
1 | |
